u++の備忘録

Data Driven Developer Meetup 【番外編 好きな論文について語る会】 #1 の発表資料

これは何?

↓のイベントで話す際の資料です。

d3m.connpass.com

自己紹介

  • 事業会社のデータアナリスト&エンジニア
  • Data Driven Developer Meetupは #4 で登壇
  • ブログGitHubで読んだ論文をまとめています

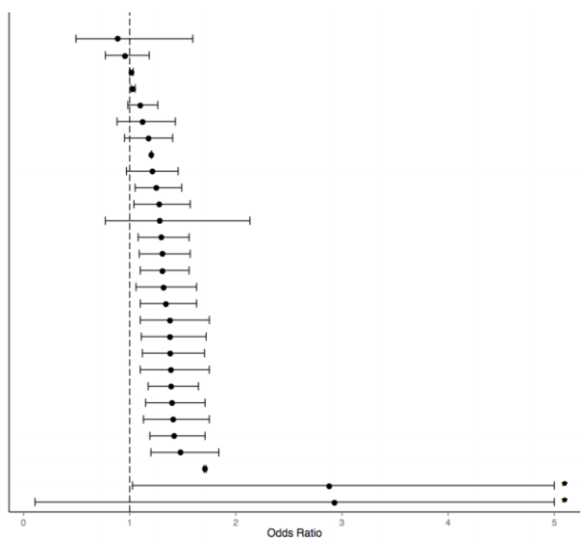
Many analysts, one dataset: Making transparent how variations in analytical choices affect results

29組のデータアナリストに同じデータセットと同じ質問を与えても、分析結果がバラバラだったという研究

f:id:upura:20190419122452p:plain

upura.hatenablog.com

時間があったら皆大好き🍣の話も

upura.hatenablog.com